
The valve will operate correctly within the following temperature conditions;
The following are clearly visible
Minimum static bursting pressure > 6.5 Mpa (65 bar), reached through a gradual pressure increase spread over 20 seconds starting from atmospheric pressure.
The valve will withstand 100 cycles of 5.0 Mpa transient peaks (peak width of 200ms)
With a minimum of 5 full threads engaged, the inlet and outlet coupling threads do not strip or break when subjected to a tightening torque of 30Nm.
All non-metallic materials in contact with water have potable water certification to AS4020, and/or BS6920 parts 1&2, and/or current approvals with FDA & WRC.
All metallic materials in contact with water, comply with AS4020, or contain not more than 4.5% lead (0.1% lead for solders) and 0.05% cadmium.
The stainless steels pass the salt spray fog test according to ASTM B 117 salt spray fog test. Stay time 100 hours. After having been dried in ambient temperatures, there are no rust spots present. A small yellow discolouration is acceptable.
Solenoid coil former and encapsulant are rated to UL94 – V0 and/or Glow wire-
IEC 695-2-1, 960° C
Solenoid assemblies are flash tested to 3.3 – 3.5kV ac, 50 Hz between earthed parts and live parts of opposite polarity.
The valve operates correctly between 20 Kpa and 1250kPa (0.02 – 12.5 bar), at the inlet of the valve.
The pressure is regulated by the available energy of the solenoid coil to lift the internal plunger mechanism.
The valve is designed to comply with IEC730-2-8 clause 18.101.3
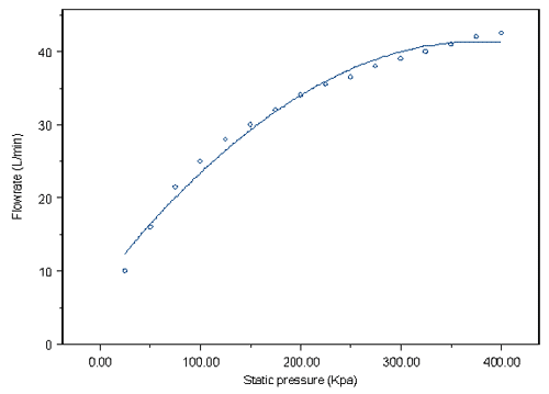
Static Pressure ranges = 20 kPa to 1250kPa
Supply pipe velocity range =1.2 m/s to 6.5 m/s
Immediately after closure, the pressure peak is not to exceed 115% of the initial static pressure condition.
Flow established within 0.5 sec of power application
Within 0.5 sec after power is removed
Max seepage admitted in the whole of the pressure range is 10ml/12 Hours
In certain installations there is the possibility of trapped excess pressure in the line between the valve inlet and supply inlet. This condition may arise when other valves or taps shut off and cause transient high pressure peaks through out the plumbing system.
The valve will open in the following adverse condition:
Rated voltage -10%
Coil temperature = 25 ± 5° C prior to power on
Trapped pressure released = up to 2000kPa (20 bar)
Voltage |
Voltage | Frequency |
Power |
Holding |
Inrush |
Ambient |
Water |
Duty Cycle |
240Vac |
+10 / -10 |
50 |
8 |
33 |
42 |
60 |
60 |
10 / 10 |
30 |
80 |
10 / 10 |
Voltage |
Voltage | Frequency |
Power |
Holding |
Inrush |
Ambient |
Water |
Duty Cycle |
120Vac |
+10 / -10 |
60 |
8 |
66 |
142 |
60 |
60 |
10 / 10 |
30 |
80 |
10 / 10 |
Voltage |
Voltage | Frequency |
Power |
Holding |
Inrush |
Ambient |
Water |
Duty Cycle |
24Vac |
+10 / -10 |
50 |
8 |
260 |
320 |
60 |
60 |
10 / 10 |
30 |
80 |
10 / 10 |
Voltage |
Voltage | Frequency |
Power |
Holding |
Inrush |
Ambient |
Water |
Duty Cycle |
12Vdc |
+10 / -10 |
- |
8 |
600 |
600 |
60 |
60 |
10 / 10 |
30 |
80 |
10 / 10 |